天水市教育局2022年度第二批引进急需紧缺和高层次人才总成绩公布
天水市教育局2022年度第二批引进急需紧缺和高层次人才总成绩公布
天水市教育局
关于公布2022年度第二批引进急需紧缺和
高层次人才总成绩的公告
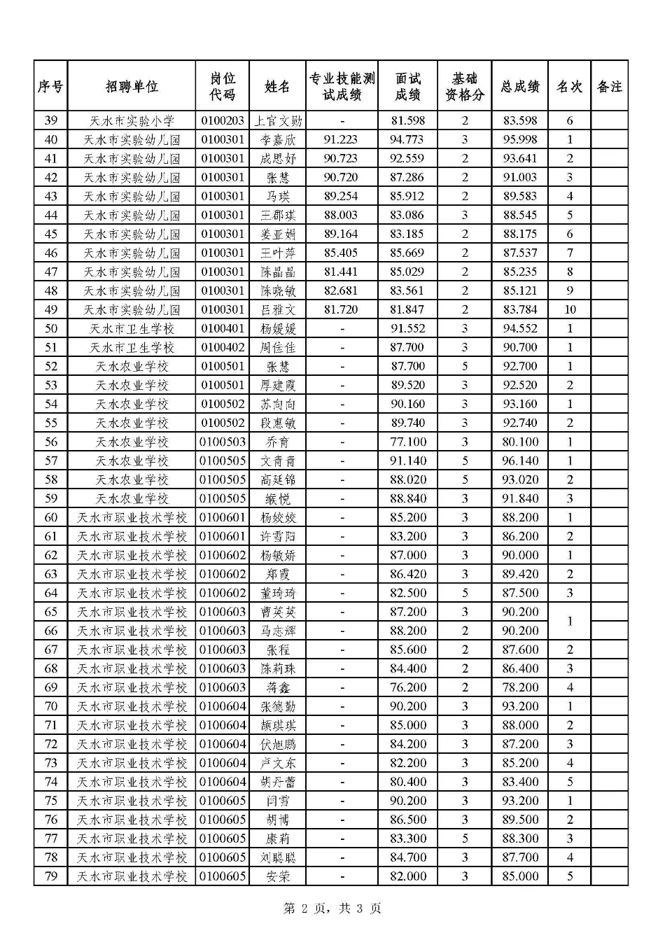
根据《天水市2022年度第二批引进急需紧缺和高层次人才公告》规定,现将天水市教育局2022年度第二批引进急需紧缺和高层次人才总成绩予以公告。(成绩附后)
附件:天水市教育局2022年度第二批引进急需紧缺和高层次人才总成绩汇总表。
天水市教育局
2022年6月19日



1、凡注有“新天水讯”的稿件,均为天水日报社版权稿件,未经许可不得转载或镜像;授权转载必须注明来源为“新天水”,并保留“新天水”电头。
2、凡注明为其它来源的信息,均转载自其它媒体,转载目的在于传递更多信息,并不代表新天水客户端(网站)赞同其观点和对其真实性负责。