甘肃

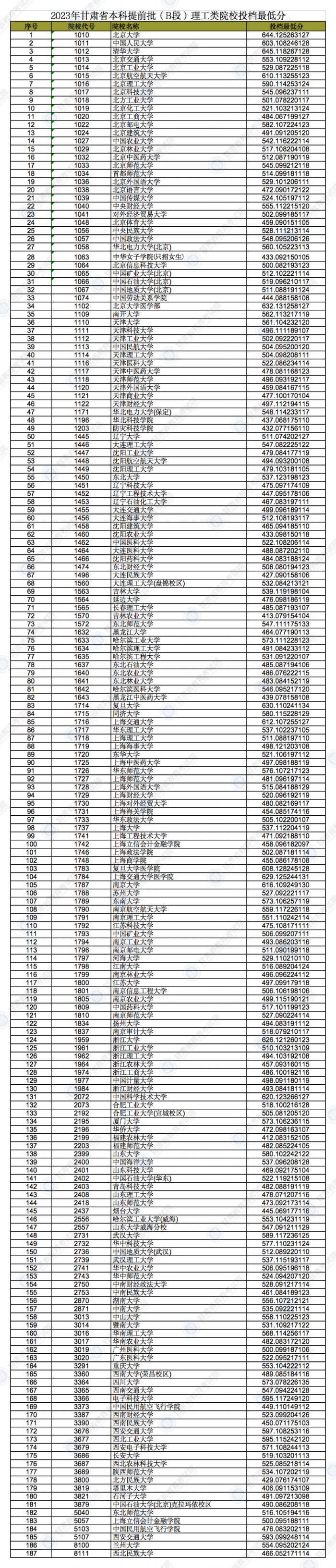
2023年甘肃省本科提前批(B段)理工、文史类院校投档最低分

来源: 甘肃省教育考试院2023-07-13 09:16:37

2023年甘肃省本科提前批(B段)理工、文史类院校投档最低分

来源: 甘肃省教育考试院2023-07-13 09:16:37

理工类

图片

文史类

图片

责任编辑:刘欣
编辑:冯涛
版权与免责声明:

1、凡注有“新天水讯”的稿件,均为天水日报社版权稿件,未经许可不得转载或镜像;授权转载必须注明来源为“新天水”,并保留“新天水”电头。

2、凡注明为其它来源的信息,均转载自其它媒体,转载目的在于传递更多信息,并不代表新天水客户端(网站)赞同其观点和对其真实性负责。