新闻快递>>
杨维俊赴民航西北局衔接机场运营发展事宜    天水:奏响扶贫攻坚“进行曲”    宋尚有主持召开全市涉农工作联席会议    天水1团队3个人获“陇原青年创新人才扶持计划”资助    1月21日,中共天水市委在秦安县召开座谈会,号召全市党员干部向获最高人民检察院一等功的秦安县副检察长刘俊杰同志学习。    
当前位置: 首页 >> 新闻中心>>天水新闻
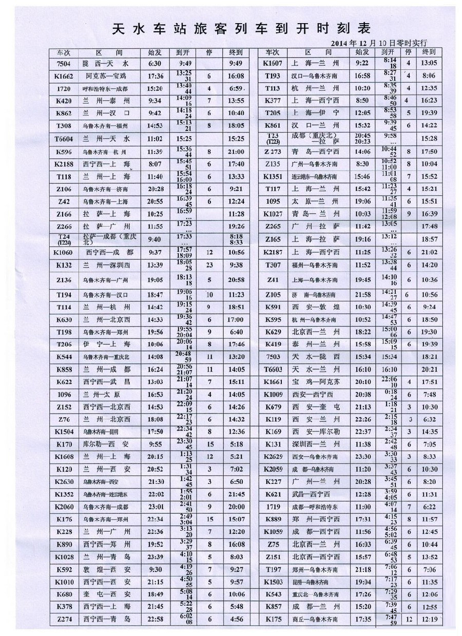
天水车站旅客列车到开时刻表(2014年12月10日实行)
来源: 天天天水网    编辑: 张娟 2015-01-23 08:57:13 星期五     字体设置:

 

上一篇天水日报社与上海逐浪软件签署合作协议
下一篇天水市气象台发布道路结冰黄色预警信号

我也来说两句 查看评论
会员登录名 密码 匿名发表
相关新闻
©Copyright 2015 天天天水网www.tsrb.com.cn版权所有,未经《天水日报》社书面授权请勿转载或建立镜像。
新闻热线:0938-8390229 技术故障:0938-8217313 谣言举报:0938-8390229 地址:天水市民主东路86号 邮箱:huaxunzaixian@163.com
互联网新闻信息服务许可证编号:甘新办 6201015 备案许可证编号:陇ICP备09002627号
技术维护与支持:天天天水网信息部

法律顾问:天水忠信律师事务所万有太、职素芬